MTH 112

CALCULUS II

A continuation of MTH 111. Topics include inverse functions, techniques of integration, applications of the integral, and infinite sequences and series. Not open to students with credit in MTH 106. Prerequisite: MTH 111. Offered every fall, spring, and summer. (Four Credits)


Assignments:

    Calculus I (Dawkins)               Calculus II (Dawkins)

  1. MTH 111 Final Exam
  2. Radiium-226 has a half-life of 1600 years. If A 0 indicates the initial amount of Radium-226 present in a test object, then the amount present, A(t) after t years is given by the functiion A(t) = A 0 (1/2) t/1600 . Express A(t) in terms of the exponetial function e . Check also that you can reverse this process.

  3. Introductory Antiderivatives
  4. "Area" Hunters
  5. Mean Value Theorem
  6. Exercises 5.3: 9 - 62   .....  The Definite Integral
  7. The Definite Integral
  8. Exercises 5.4: 1 - 70, 75 - 78   .....  The Fundamental Theorem of Calculus
  9. Exercises 5.5: 1 - 78   .....  Indefinite Integrals, Guess, Check, and Adjust, and Substitution
  10. Exercises 5.6: 1 - 110   .....  Area Between Curves

  11. --- Important General Statement ---

  12. Exercises 8.1: 1 - 52   .....  Reduction Technique: Integration by Parts, Table of Integrals
  13. Exercises 8.4: 1-54   .....  Partial Fraction Decomposition , Integration by Partial Fraction Decomposition
  14. (Dawkins) Assignment Problems 1 - 6   .....  Integrals Involving Roots
  15. Integrals Involving Quadratics
  16. Exercises 7.2: 1-30   .....  Separable Differential Equations

  17. Exercises 8.2: 1 - 68   .....  Trigonometric Integrals ( Identities )
  18. Exercises 8.3: 1-34   .....  Trigonometric substitions
  19. Summary of algebraic manipulation techniques
  20. Exercises 8.7: 1-64   .....  Improper Integrals and Asymptotics
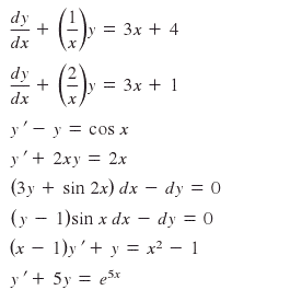
  21. First Order Linear Ordinary Differential Equations (MIT OpenCourseware - Dr. Arthur Matuck)
    • Solve the first order linear differntial equations listed below:



  22. Sample unit problems

  23. Arc Length and Centroids
  24. Exercises 6.3: 1-22   .....  Arc Length
  25. Exercises 6.6: 1-34   .....  Moments and Centers of Mass
  26. Exercises 6.1: 4,5,6,15-55   .....  Volumes Using Cross Sections
  27. Exercises 6.1: 4,5,6,15-55   .....  Volumes Using Disks and Washers
  28. Volumes Using Disks
  29. Volumes Using Washers
  30. Exercises 6.1: 4,5,6,15-55   ..... Volumes Using Cylindrical Shells
  31. Exercises 6.4: 1-24   .....  Areas of Surfaces of Revolution
  32. Sphere and Torus
  33. Exercises 6.5: 1-20   .....  Work
  34. Work
  35. (Dawkins) Assignment Problems 1 - 7   .....  Hydrostatic Pressure and Force
  36. Hydrostatics

  37. A triangular plate whose edges are 5ft, 5ft and 8ft is placed vertically in water with its longest edge uppermost, horizontal, and 3 ft below the water level. Calculate the force on the side of the plate.
  38. Find the force on the end of a trough in the form of a semicircle of radius 2 ft.
  39. Parametric Equations and Curves
  40. Tangents with Parametric Equations
  41. Area with Parametric Equations
  42. Arc Length with Parametric Equations
  43. Polar Coordinates
  44. Tangents with Polar Coordinates
  45. Area with Polar Coordinates
  46. Arc Length with Polar Coordinates

  47. Exercises 8.6: 1-10   .....  Numerical Integration
  48. Exercises 9.1: 27-90   .....  Sequences
  49. Exercises 9.2: 1-68   .....  Infinite Series
  50. Numerical series
  51. Exercises 9.3: 1-40   .....  The Integral Test
  52. Geometric series
  53. Exercises 9.4: 1-54   .....  Comparison Tests
  54. Exercises 9.5: 1-62   .....  Ratio and Root Tests
  55. Exercises 9.6: 1-48   .....  Power Series
  56. Sample unit problems
  57. Special Series

  58. Intervals of convergence
  59. Taylor's Theorem
  60. Power Series and Taylor Series
  61.   .....  The Binomial Series and Applications of Taylor Series
  62. Binomial Series Exercises


On-line Tests (Fall 2020)


Contact R.L. Pryor